1.近期,陈水源、张慧钦(学生)、黄志高等的研究成果在《Journal of Alloys and Compounds》上发表。
论文简介如下:
磁性的原位调制可以在“铁磁/压电”结构复合体系中通过电场诱导逆压电效应获得。在在本文中,我们报导了Ni/PMN-PT薄膜异质结构中电场对磁特性的非易失调制。主要结果有:(1)利用脉冲激光沉积(PLD)方法成功在PMN-PT铁电单晶上外沿生长得到Ni单晶;(2)实验测试结果表明了电场对磁化强度的调制达到了60%、对矫顽力调制达到了23.2%,且在很大的温度范围内电场对磁特性的调制都很明显; (3)为了分析调制机理,我们设计了组合实验,即同时测试了在不同电极化时间下的磁化强度以及拉曼光谱,结果表明了磁化强度随电极化时间的变化情况与拉曼光谱随不同极化时间的变化情况的一致性。证明了电场对薄膜微结构调制,进而影响磁性材料中的磁相互作用,也即电场通过应力效应对薄膜磁性的调制。

不同电场下Ni/PMN-PT薄膜拉曼光谱原位测试(a)及电场对样品拉曼光谱的调制(b、c)
官网链接:http://www.sciencedirect.com/science/article/pii/S0925838815313141
本网全文下载:
JAC paper 2016.pdf
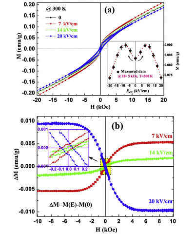
2.近期,陈水源、黄志高等的研究成果在《Journal of Alloys and Compounds》上发表。
论文简介如下:
电场对磁性的明显的且非易失调制主要在“铁磁/铁电”复相材料中获得。而在本研究中,我们获得了室温下单相多铁性材料Bi0.95Ba0.05FeO3中电场诱导铁电极化对磁特性的非易失调制。主要研究结果有:(1)电场对弱铁磁序有很明显的影响,而对强的反铁磁序没有明显的调制;(2)得到了材料的不同铁电极化态下的拉曼散射谱结果,发现不同铁电极化状态下材料的拉曼振动模式发生变化,表明材料的微结构发生变化;(3)得到了不同铁电极化时间下的磁化强度变化。以上实验结果都表明了材料的磁性调制来源于电场诱导铁电极化状态的变化,这种电极化强度与磁有序之间存在着有趣的耦合效应。


电场对Bi0.95Ba0.05FeO3单相多铁性材料中磁性的调制
官网链接:http://www.sciencedirect.com/science/article/pii/S0925838816302420
本网全文下载:
JAC 2016 Published.pdf

