近日,我院张健敏教授、黄志高教授团队在强关联与超导领域研究方向取得重要进展。研究团队在新型Kagome超导体XPd5 (X = Ca, Sr, Ba)中,发现了理想电子平带和声子平带,并基于声子振动模式的研究揭示了其源于格点干涉相消的物理机理,通过电子-声子耦合计算确定了体系的超导转变温度。该研究成果以“Topological electron and phonon flat bands in novel kagome superconductor XPd5 (X = Ca, Sr, Ba)”为题目,发表于npj Computational Materials 11, 331 (2025)。

笼目晶格(Kagome lattice)是一类具有特征结构的新型量子材料,其原子排列形成顶点对顶点的六芒星阵列。这种特殊几何结构可以诱导出平带、范霍夫奇点(vHS)和狄拉克点等独特的电子特征,尤其是其关于几何阻挫诱导的费米子和玻色子局域态为探索强关联系统中的演生新奇量子现象提供了独特的研究平台,并在超导、电荷密度波等领域有广泛的应用。
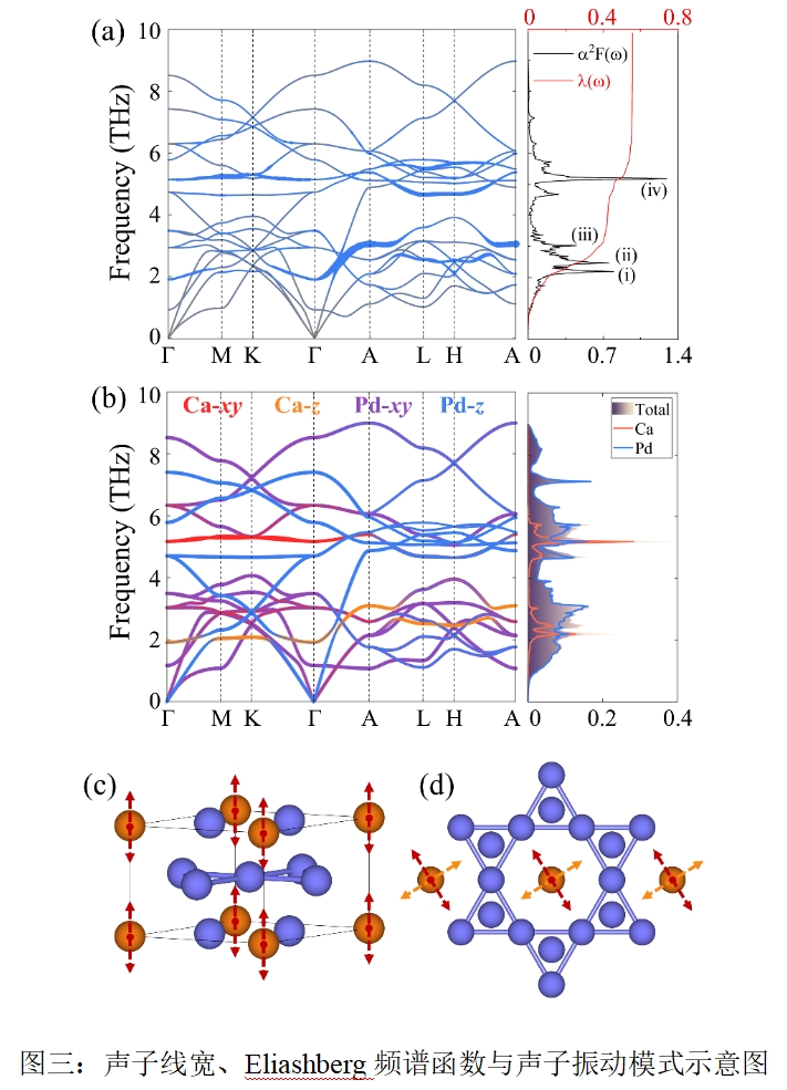
我院张健敏教授、黄志高教授团队长期深入拓扑量子材料领域研究,近期他们在国际上首次报道了新型Kagome超导材料XPd5 (X = Ca, Sr, Ba)中的拓扑电子与声子平带。研究表明,该体系存在位于费米能级上且具有Z2=1非平庸拓扑数的拓扑平带,以及多色散特征共存的范霍夫奇点(vHS),包括传统与高阶vHS,m型和p型vHS。同时,通过研究体系玻色子行为特征,揭示了声子频谱中表现的特殊Kagome特征频谱起源于相邻格点的振动模式干涉相消,构建的spring-mass声子模型阐明了其中的物理机制。此外,电子-声子耦合计算表明,CaPd5、SrPd5和BaPd5的超导基态临界温度(Tc)分别为4.25 K、2.75 K和3.35 K。

研究团队通过理论计算发现,XPd5材料拥由几何阻挫诱导的电子平带和声子平带,以及多色散特征共存的范霍夫奇点(vHS),包括由偶宇称贡献的纯亚晶格特征p型vHS,由奇宇称贡献的混合亚晶格特征m型高阶vHS。他们首次通过对声子平带振动模式的研究,揭示了声子平带起源于相邻Kagome晶格位点反相位振动模式间的相消干涉,给出了Kagome声子平带起源于几何阻挫的直接证明,并建立spring-mass声子模型阐明了其中的物理机制。同时,通过对原子振动模式分析,确定了体系中的有效Holstein模型将显著增强超导配对。这一成果不仅为探索费米子-玻色子多体相互作用与超导态提供了理想平台,同时建立了阐明量子材料中声子平带起源的新型分析框架。



福建师范大学为第一作者单位,博士研究生叶杰锋为第一作者,张健敏教授为本文通讯作者,我校黄志高教授、中科院理论物理所吴贤新副研究员(共同通讯作者)作为主要合作者提供了重要贡献。研究工作得到国家自然科学基金面上项目、福建省自然科学基金杰青项目、重点项目、我校宝琛计划高端人才等的资助。
论文链接:https://www.nature.com/articles/s41524-025-01815-y
论文全文:
